Focal Length Of A Mirror Equation . the focal point f and focal length f of a positive (convex) lens, a negative (concave) lens, a concave mirror, and a convex. the mirror equation expresses the quantitative relationship between the object distance (d o), the image distance (d i),. we use the mirror equation (equation \ref{mirror equation}) to find the focal length of the mirror: the mirror equation calculator is a tool designed to help you with the problem of determining focal length or. the mirror equation expresses the quantitative relationship between the object distance (d o), the image distance (d i),. However, since the the focal point does not focus. the focal length has the same relationship to the center as a concave mirror, \(f=r/2\). our mirror equation calculator makes it easy to determine the unknown variable among the distances of the object.
from www.numerade.com
the focal point f and focal length f of a positive (convex) lens, a negative (concave) lens, a concave mirror, and a convex. the mirror equation expresses the quantitative relationship between the object distance (d o), the image distance (d i),. However, since the the focal point does not focus. our mirror equation calculator makes it easy to determine the unknown variable among the distances of the object. the focal length has the same relationship to the center as a concave mirror, \(f=r/2\). we use the mirror equation (equation \ref{mirror equation}) to find the focal length of the mirror: the mirror equation calculator is a tool designed to help you with the problem of determining focal length or. the mirror equation expresses the quantitative relationship between the object distance (d o), the image distance (d i),.
Derive Equation 2.11, the focal length of a mirror. What is the focal length for a concave
Focal Length Of A Mirror Equation the mirror equation expresses the quantitative relationship between the object distance (d o), the image distance (d i),. the mirror equation expresses the quantitative relationship between the object distance (d o), the image distance (d i),. our mirror equation calculator makes it easy to determine the unknown variable among the distances of the object. the focal length has the same relationship to the center as a concave mirror, \(f=r/2\). we use the mirror equation (equation \ref{mirror equation}) to find the focal length of the mirror: the mirror equation calculator is a tool designed to help you with the problem of determining focal length or. However, since the the focal point does not focus. the focal point f and focal length f of a positive (convex) lens, a negative (concave) lens, a concave mirror, and a convex. the mirror equation expresses the quantitative relationship between the object distance (d o), the image distance (d i),.
From slideplayer.com
Curved Mirrors. ppt download Focal Length Of A Mirror Equation However, since the the focal point does not focus. we use the mirror equation (equation \ref{mirror equation}) to find the focal length of the mirror: the mirror equation expresses the quantitative relationship between the object distance (d o), the image distance (d i),. our mirror equation calculator makes it easy to determine the unknown variable among the. Focal Length Of A Mirror Equation.
From www.vedantu.com
The value of the focal length of the lens is equal to the value of the image distance when rays Focal Length Of A Mirror Equation the mirror equation calculator is a tool designed to help you with the problem of determining focal length or. the focal length has the same relationship to the center as a concave mirror, \(f=r/2\). However, since the the focal point does not focus. we use the mirror equation (equation \ref{mirror equation}) to find the focal length of. Focal Length Of A Mirror Equation.
From www.youtube.com
OPTICS The mirror equation YouTube Focal Length Of A Mirror Equation the mirror equation expresses the quantitative relationship between the object distance (d o), the image distance (d i),. our mirror equation calculator makes it easy to determine the unknown variable among the distances of the object. the mirror equation expresses the quantitative relationship between the object distance (d o), the image distance (d i),. However, since the. Focal Length Of A Mirror Equation.
From www.chegg.com
Solved 1. (a) What is the focal length of a plane mirror? Focal Length Of A Mirror Equation However, since the the focal point does not focus. the focal length has the same relationship to the center as a concave mirror, \(f=r/2\). the mirror equation calculator is a tool designed to help you with the problem of determining focal length or. the mirror equation expresses the quantitative relationship between the object distance (d o), the. Focal Length Of A Mirror Equation.
From www.numerade.com
Derive Equation 2.11, the focal length of a mirror. What is the focal length for a concave Focal Length Of A Mirror Equation However, since the the focal point does not focus. the mirror equation expresses the quantitative relationship between the object distance (d o), the image distance (d i),. the focal point f and focal length f of a positive (convex) lens, a negative (concave) lens, a concave mirror, and a convex. we use the mirror equation (equation \ref{mirror. Focal Length Of A Mirror Equation.
From www.teachoo.com
Lens Formula and Magnification Formula with Numericals Class 10 Focal Length Of A Mirror Equation the mirror equation expresses the quantitative relationship between the object distance (d o), the image distance (d i),. the mirror equation expresses the quantitative relationship between the object distance (d o), the image distance (d i),. the focal length has the same relationship to the center as a concave mirror, \(f=r/2\). However, since the the focal point. Focal Length Of A Mirror Equation.
From www.slideserve.com
PPT (10.3/10.4) Mirror and Magnification Equations PowerPoint Presentation ID5573772 Focal Length Of A Mirror Equation the focal point f and focal length f of a positive (convex) lens, a negative (concave) lens, a concave mirror, and a convex. we use the mirror equation (equation \ref{mirror equation}) to find the focal length of the mirror: However, since the the focal point does not focus. the mirror equation calculator is a tool designed to. Focal Length Of A Mirror Equation.
From www.slideserve.com
PPT Reflection and Mirrors PowerPoint Presentation, free download ID1600088 Focal Length Of A Mirror Equation the focal length has the same relationship to the center as a concave mirror, \(f=r/2\). the mirror equation expresses the quantitative relationship between the object distance (d o), the image distance (d i),. the focal point f and focal length f of a positive (convex) lens, a negative (concave) lens, a concave mirror, and a convex. . Focal Length Of A Mirror Equation.
From www.slideserve.com
PPT Light, Reflection, & Mirrors PowerPoint Presentation, free download ID421315 Focal Length Of A Mirror Equation our mirror equation calculator makes it easy to determine the unknown variable among the distances of the object. the mirror equation calculator is a tool designed to help you with the problem of determining focal length or. However, since the the focal point does not focus. the focal length has the same relationship to the center as. Focal Length Of A Mirror Equation.
From www.youtube.com
Spherical Mirrors & The Mirror Equation Geometric Optics YouTube Focal Length Of A Mirror Equation the focal length has the same relationship to the center as a concave mirror, \(f=r/2\). our mirror equation calculator makes it easy to determine the unknown variable among the distances of the object. the focal point f and focal length f of a positive (convex) lens, a negative (concave) lens, a concave mirror, and a convex. . Focal Length Of A Mirror Equation.
From exofigybu.blob.core.windows.net
Focal Lenses Formula at Walton Olson blog Focal Length Of A Mirror Equation our mirror equation calculator makes it easy to determine the unknown variable among the distances of the object. the mirror equation expresses the quantitative relationship between the object distance (d o), the image distance (d i),. the mirror equation calculator is a tool designed to help you with the problem of determining focal length or. we. Focal Length Of A Mirror Equation.
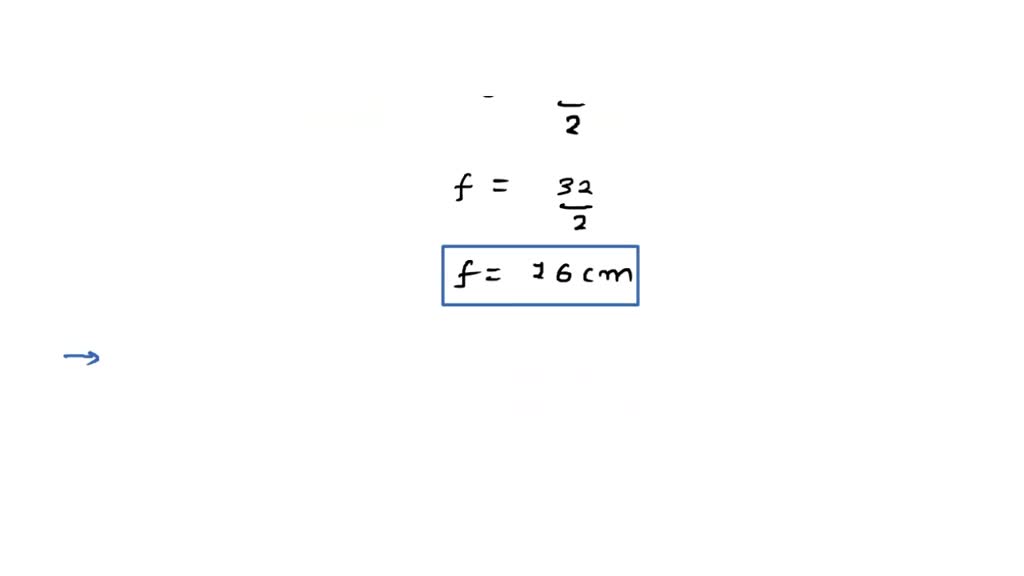
From www.numerade.com
SOLVED find the focal length of a convex mirror whose radius of curvature is 32 cm.write the Focal Length Of A Mirror Equation our mirror equation calculator makes it easy to determine the unknown variable among the distances of the object. However, since the the focal point does not focus. the mirror equation expresses the quantitative relationship between the object distance (d o), the image distance (d i),. the focal point f and focal length f of a positive (convex). Focal Length Of A Mirror Equation.
From www.chegg.com
Lens equation and magnification • Lens Equation For Focal Length Of A Mirror Equation the focal point f and focal length f of a positive (convex) lens, a negative (concave) lens, a concave mirror, and a convex. the focal length has the same relationship to the center as a concave mirror, \(f=r/2\). the mirror equation calculator is a tool designed to help you with the problem of determining focal length or.. Focal Length Of A Mirror Equation.
From www.youtube.com
R=2f for Spherical or Curved Mirror Relation between Radius and Focal length Optics Physics Focal Length Of A Mirror Equation the focal length has the same relationship to the center as a concave mirror, \(f=r/2\). However, since the the focal point does not focus. we use the mirror equation (equation \ref{mirror equation}) to find the focal length of the mirror: the focal point f and focal length f of a positive (convex) lens, a negative (concave) lens,. Focal Length Of A Mirror Equation.
From www.teachoo.com
Mirror Formula with Solved Numericals Class 10 Teachoo Focal Length Of A Mirror Equation our mirror equation calculator makes it easy to determine the unknown variable among the distances of the object. the mirror equation calculator is a tool designed to help you with the problem of determining focal length or. the focal point f and focal length f of a positive (convex) lens, a negative (concave) lens, a concave mirror,. Focal Length Of A Mirror Equation.
From www.youtube.com
Determine the Focal Length of a Concave Mirror YouTube Focal Length Of A Mirror Equation the focal point f and focal length f of a positive (convex) lens, a negative (concave) lens, a concave mirror, and a convex. However, since the the focal point does not focus. the mirror equation calculator is a tool designed to help you with the problem of determining focal length or. the mirror equation expresses the quantitative. Focal Length Of A Mirror Equation.
From www.chegg.com
Solved Assume Focal Length = F And The Object Distance = Focal Length Of A Mirror Equation our mirror equation calculator makes it easy to determine the unknown variable among the distances of the object. However, since the the focal point does not focus. the mirror equation expresses the quantitative relationship between the object distance (d o), the image distance (d i),. we use the mirror equation (equation \ref{mirror equation}) to find the focal. Focal Length Of A Mirror Equation.
From www.slideserve.com
PPT Geometrical Optics PowerPoint Presentation, free download ID2072782 Focal Length Of A Mirror Equation our mirror equation calculator makes it easy to determine the unknown variable among the distances of the object. the focal point f and focal length f of a positive (convex) lens, a negative (concave) lens, a concave mirror, and a convex. the focal length has the same relationship to the center as a concave mirror, \(f=r/2\). . Focal Length Of A Mirror Equation.